Mesut Özil

Démarré par Vince, 02-09-2013, 22:21:24

« précédent - suivant »

Ben4

"My heart is tied to this football club-Arsenal is my life. This club has deep-seated roots and a tremendous heritage and it is my aim to uphold these important values and help create new history for future generations to recount.\" Arsène Wenger

Shapeshifter

#2761
Citation de: Taz le 05-01-2016, 20:02:48
Ouai c'est bien ca :  octobre nocembre et decembre :up:

Es-tu sûr de toi ?

Moi j'ai Sanchez en Octobre pour la PFA Fan's Player of the Month.
Et sinon Octobre et Novembre j'ai Vardy pour le PFA Player of the Month qui sont deux trophées différents.
Shapeshifter -

A10GunnerFan

Pareil que toi Shape!
Victoria Concordia Crescit
13 Leagues - 14 FA Cups - 2 Leagues Cup - 17 Community Shields

London is RED!!!

Taz

#2763
Oui c'est le vitaly 3 fois de suite:

Its a hat trick of Vitality Player of the Month awards for Mesut Ozil!


Read more at http://www.arsenal.com/news/news-archive/20160105/ozil-is-vitality-player-of-the-month#z69OgzdAYr2DGomI.99
Only One Arsenal ! ! ! 


Shapeshifter

Mais t'es au courant qu'on parle pas du tout du même genre de trophée ?

Y en a un qui est décerné par les fans d'Arsenal depuis le site d'Arsenal, le Vitality qui est un partenaire du club qui a namé le trophée.
Vince parle certainement du PFA Fan's PotM Award (en partenariat avec Sky Sports) et la vraie distinction de joueur du mois en Premier League se nomme le PFA PotM Award soit 3 trophée avec des votant complètement différent.
Shapeshifter -

Vince

Oui je parlais du trophée national. Il y a moins de mérite à être le meilleur joueur d'Arsenal.

Taz

Citation de: Shapeshifter le 05-01-2016, 21:49:08
Mais t'es au courant qu'on parle pas du tout du même genre de trophée ?

Y en a un qui est décerné par les fans d'Arsenal depuis le site d'Arsenal, le Vitality qui est un partenaire du club qui a namé le trophée.
Vince parle certainement du PFA Fan's PotM Award (en partenariat avec Sky Sports) et la vraie distinction de joueur du mois en Premier League se nomme le PFA PotM Award soit 3 trophée avec des votant complètement différent.
J'ai confondu merci pour tes precisions :up:
Only One Arsenal ! ! ! 


Taz


Mesut Ozil is crowned the 2015 German national team player of the year, Thomas Muller comes 2nd

Mesut Ozil has won an award today, as he's been crowned the 2015 German national team player of the year.

The title is voted for by fans, and the Arsenal man claimed a whopping 45.9 percent of the vote.

According to the official German national team website, more than 51,000 fans voted for the Gunners star.

Second in the running was Bayern Munich forward Thomas Muller. He acquired 15.9 percent of the votes.

In perhaps something of a surprise, Cologne's 25-year-old left back Jonas Hector, who has 10 caps for Germany overall, ranked third with 13.6 percent of the vote.

Mesut Ozil played in eight of Germany's nine international matches in 2015.

In those eight games Ozil clocked a total of 92.71 kilometers running for his country: an average of 11.59 kilometers every 90 minutes.

The Gunners star had 14 shots for Germany in 2015, while he laid claim to six assists in 8 games too.

This is the third time in four years Ozil has picked up the award. He won it in 2011, 2012 and 2013 as well.
Only One Arsenal ! ! ! 


Ben4

Nouveau chant pour özil:

"My heart is tied to this football club-Arsenal is my life. This club has deep-seated roots and a tremendous heritage and it is my aim to uphold these important values and help create new history for future generations to recount.\" Arsène Wenger

Vince


gunner4life

J espère qu il sera de retour contre chelsea

clarck59

On a senti son influence lors du match d'hier.
Il y avait plus de déchets technique et beaucoup moins d'occasions.
Heureusement qu'on a un grand Özil cette saison.

Vince

Il nous manque un Özil à 100%, parce qu'à Liverpool on l'a pas vu du match, ça aurait été sans doute pareil à Stoke. A mon avis il trainais cette blessure depuis quelques temps. Espérons retrouver un Özil en pleine forme contre Chelsea.

Shapeshifter

On l'a pas vu mais il offre deux pépites quand même qui aurait p(d)u faire but. On l'avait moins vu que d'habitude mais bon.
Après clairement, là, à Stoke y avait trop de changement au niveau offensif. Giroud s'est bien sorti les doigts du cul depuis quelques matchs, sauf que ça amené Walcott a faire l'opposé !
Shapeshifter -

Taz

Only One Arsenal ! ! ! 


Vince

C'est un coup à choper une maladie de mâcher des chewing gum qui trainent sur les vitres. Pas un bon exemple pour la jeunesse :P

LRicky

Avec notre veine il va choper une pneumonie et sera absent 8 semaines :lol:

Vince


clarck59

J'aime bien cette chanson :up:

Taz

Ce matin partout on peu lire le contrat d'Ozil contient une clause de rachat ... dès qu'il y a une défaite on est partie pour la fin du monde ca soul
Only One Arsenal ! ! ! 


Taz

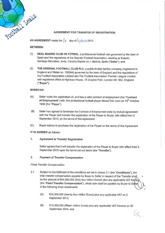
quelques détails intéressant on y apprend notament qu'Ozil à couté le même prix qu'Alexis soit 44M€ sans les primes et non pas 55 comme annoncé depuis le début de son transfert.



Le contrat établissant le transfert de Mesut Özil du Real Madrid à Arsenal a été révélé au grand jour. Il contient une clause de rachat du club espagnol.

Moins d'une semaine après les révélations sur le vrai prix de Gareth Bale (101M€) qui a provoqué la surprise, Football Leaks a récidivé. Le site spécialisé dans la fuite d'informations confidentielles vient de dévoiler au grand jour le contrat de Mesut Özil, paraphé par le Real Madrid et le club d'Arsenal pour le transfert de l'Allemand durant l'été 2013.


Comme avec le Gallois, le site a publié une série de documents sur la signature d'Özil chez les Gunners, permettant de mettre à jour quelques mensonges de la part des deux clubs. D'abord, le club londonien a payé moins que ce qui a toujours été déclaré. Arsenal a en effet payé 44 millions d'euros (36M£ à l'époque) pour le meneur de jeu champion du monde, bien moins que les 55 millions d'euros annoncés par le club. Cette somme a été payée en trois versements échelonnés sur deux ans.




Les Gunners doivent par ailleurs payer 1M€ supplémentaire, chaque saison durant laquelle Arsenal se qualifie pour la Ligue des Champions durant les six premières années, ce qui équivaut à 2M€ à ce jour.

Mais la plus grosse surprise vient d'une clause gardée secrète : une clause de rachat qui permet au Real Madrid d'égaler toute offre émanant d'un rival espagnol. Ainsi, si un concurrent direct des Merengue faisait une offre à Arsenal, ce dernier devrait avertir le club madrilène, qui pourrait alors décider de s'aligner dans les 48h sur l'offre du concurrent et remporter automatiquement la mise (le recrutement du joueur).




Dans le cas où la Maison Blanche ne souhaiterait pas rapatrier son joueur, le club a tout prévu. Le Real a en effet fixé une clause de vente très élevée qui stipule que Ozil ne pourrait pas être vendu pour moins de 50M€ à un rival espagnol, et qu'il recevrait 33% de tout profit réalisé sur ce transfert, comme une sorte de dédommagement.

Ainsi, le Real s'est assuré que son ancien prodige ne filera pas chez la concurrence s'il envisageait un retour en Liga.
Only One Arsenal ! ! ! 


Shapeshifter

C'est sur quel site ça Taz ?
Shapeshifter -

LRicky

Rien d'étonnant venant d'un club qui vend un joueur de grand talent, je ne sais pas quelle types de primes nous avions pour le transfert de Cesc vers Chelsea, mais dans ma mémoire une partie du transfert nous est revenu

Vince

Déjà 100 matchs sous nos couleurs :up:


A10GunnerFan

Déjà? Ça passe vite... Malgré un physique "fragile", il n'est que rarement absent! :respect:
Victoria Concordia Crescit
13 Leagues - 14 FA Cups - 2 Leagues Cup - 17 Community Shields

London is RED!!!

TheMerse

A l'inverse, Emmanuel PETIT n'a pas joué tant de match que cela !

Vince

Il était bien plus en jambe que contre Chelsea ou même Liverpool, vraiment dommage qu'il ait raté toutes ces occasions :bang:

gunner4life

Par contre au corner c était pas terrible

Shapeshifter

Oui dans un match pourri comme ça. Il aurait fallu s'appliquer à juste mettre dans la boîte vu la densité ça aurait pu peut etre plus facilement passer. Forster ne sort pas trop. Là on passait rarement le premier poteau.
Après c'est pas lui qui a fait un match affreux. Il va pas pouvoir gagner tous les matchs tout seul.
Shapeshifter -

Vince

C'est clair :wtf:

Sinon 10 occasions crées par Özil, aucun joueur n'a fait mieux en Premier League sur un seul match cette saison.